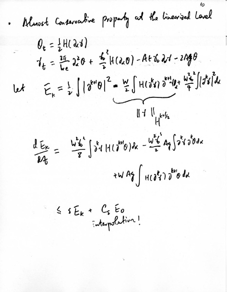
Analytical and Computational Challenges of Incompressible Flows at High Reynolds Number / b10
Nonlinear dynamics near unstable vortex sheets and vortex patches - Yan Guo
5/21/2004