Analytical and Computational Challenges of Incompressible Flows at High Reynolds Number / a6
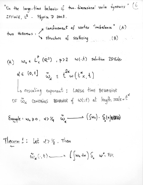
Dispersion and scattering of vorticity in 2D flows - Milton Lopes
5/20/2004